किशोर पंवार
जड़ हमेशा नीचे ज़मीन में ही क्यों आगे बढ़ती है, तने की तरह ऊपर आकाश की ओर क्यों नहीं? इस सवाल को लेकर हो रही तमाम खोजबीन और अध्ययनों पर आधारित है यह लेख।
करोड़ों साल पहले विकास (evolution) के नीचे किसी दौर में जब पौधे ज़मीन पर पनपे तो उन्हें जमने के लिए जड़ों का सहारा लेना पड़ा। तब से लेकर आज तक जड़े तने को स्थिर रखने और उसे पानी व आवश्यक खनिज पदार्थ पहुंचानेका काम करती आ रही हैं।
भाषा में जड़ की बात करने का मतलब स्थिर अचेतन से होता है। लेकिन ये जड़-जड़ नहीं है। इन जड़ों में चेतना और संवेदनशीलता बड़े आला दर्ज़े की है। तना तो ज़मीन के ऊपर होता है इसलिए उसकी वृद्धि ... तने का मोटा होना, पत्तियों का आना आदि - हम देख पाते तो देखते कि ऊपर हो रही वृद्धि के साथ जड़ में भी लगातार परिवर्तन हो रहा है - वह नीचे उतरती जा रही है - वह नीचे उतरती जा रही है, बढ़ती जा रही है। वैसे विशेष रूप से बनाई गई फिल्मों में जड़ों को भी ज़मीन में पानी की तलाश में आगे, और आगे कदम बढ़ाते देखा जा सकता है। जड़ का ज़मीन में आगे बढ़ने का तरीका। जैव अभियांत्रिकी (बायो इंजीरियरिंग) का बेजोड़ नमूना है। जड़ें ज़मीन में धीरे-धीरे गोल-गोल घूमकर आगे बढ़ती हैं। यह क्रिया ठीक आधुनिक ड्रिलिंग मशीन की तरह है। इस तरह जड़ न सिर्फ ज़मीन में छेद करने में सफल होती है, वरन राह में आए किसी अवरोध जैसे कि बड़ी चट्टान या पत्थर से हटकर अपना सही रास्ता पा लेती है।
जड़ की सुरक्षा - टोपी
आइए अब जड़ की रचना पर थोड़ा गौर करते हैं। जड़ के सिरे से बिल्कुल थोड़ा ऊपर वाले हिस्से में कोशिकाओं का विभाजन लगातार चलता रहता है। इसे हम जड़ का वृद्धि केंन्द्र भी कह सकते हैं। जड़ की लंबाई में वृद्धि के लिए ज़रूरी कोशिकाएं यहीं से मिलती हैं। यह भाग काफी संवेदनशील होता है। स्वाभाविक है कि ज़मीन में अंदर जाते समय इसे मिट्टी, पत्थर आदि से नुकसान पहुंच सकता है - इसकी सुरक्षा के लिए जड़ के सिरे पर एक टोपी जैसी कठोर रचना होती है। जड़ के ज़मीन में आगे बढ़ने के दौरान मिलने वाले कंकड़, पत्थर, मिट्टी आदि का सामना इसी टोपी को करना पड़ता है। इसलिए टोपी की कोशिकाएं लगातार टूटती बिखरती हैं। इस हिस्से की मरम्मत के लिए लगातार हैं। इस हिस्से की मरम्मत के लिए लगातार नई कोशिकाओं का विभाजन हो रहा है। वैसे इस टोपी वाले भाग की एक और विशेषता है कि इसकी दीवारों से एक चिकना पदार्थ भी निकनता रहता है जो आगे बढ़ने के कारण पैदा होने वाले घर्षण को कम करता है। यानी ड्रिलिंग के दौरान लुब्रिाकेशन भी होता रहता है!

जड़ की सुरक्षा टोपी और उसका रेखा चित्रः जौ की जड़ की खड़ी काट का संवेदनशील सूक्ष्मदर्शी से लिया गया फोटो और जड़ का एक रेखाचित्र। सुरक्षा टोपी की कोशिकाएं जड़ के अन्य हिस्सों की तुलना में ढीलीसी रहती हैं। जौ की जड़ में यह स्पष्ट दिख रही हैं। जड़ को लंबाई में वृद्धि और सुरक्षा- टोपी की मरम्मत के लिए कोशिकाएं मिलती हैं वृद्धि केंद्र मे, जहां कोशिकाओं का विभाजन लगातार चलता रहता है। यह वृद्धि केंद्र टोपी के ठीक ऊपर होता है।
गुरुत्व बल और जड़
यह तो हुई उन जड़ों की बात जो हम चुकी हैं। पर उन बीज़ों का क्या जिनकी जड़ें अभी बनी ही नहीं हैं। बीज में से अंकुर फूटने का स्थान तो निश्चित होता है किन्तु फलों के पक्कड़ फटने पर या किसान किन्तु फलों के पककर फटने पर या किसान द्वारा खेत में डाले जाने पर बीज ज़मीन पर आड़े-तिरछे गिरते हैं। फिर उनकी जड़ ज़मीन की ओर ही क्यों जाती है, ऊपर की ओर या किसी अन्य दिशा में क्यों नहीं?
बीज कैसे भी बोए जाएं, उनकी जड़ें हमेशा ज़मीन की ओर ही जाती हैं और तना आकाश की ओर। कौन बताता है जड़ को ज़मीन की दिशा और तने को आकाश का रास्ता?
इस रहस्य को जानने के लिए जीव वैज्ञानिक पिछले कई वर्षों से भिड़े हुए हैं। फिर भी कुछ मोटी-मोटी बातों को छोड़कर आज तक स्थिति पूरी तरह स्पष्ट नहीं है। हालांकि इतना तो पता चल चुका है कि जड़ को ज़मीन की दिशा का ज्ञान कैसे होता है। और यही बात महत्वपूर्ण भी है। पौधों के सीधे खड़े रहने की ओर 18वीं सदी की शुरुआत में सर्वप्रथम डोडर्ट एवं ऑस्ट्रक ने लोगों का ध्यान आकृष्ट किया। उन्होंने बताया कि ऐसा पृथ्वी के गुरुत्व बल के कारण होता है। मैदानी क्षेत्रों के पेड़ तो सीधे खड़े रहते ही हैं परन्तु पर्वतों की ढलानों पर लगे चीड़ और देवदार के पेड़ भी अपना संतुलन बनाए रखने के लिए हमेशा पृथ्वी से लंब रूप में सीधे खड़े रहते है,
कैसे लगता है बल
गुरुत्वाकर्षण बल जड़ की दिशा को किस तरह आकर्षित करता है इसे समझने के लिए इंग्लैंड के वैज्ञानिक थॉमस नाइट ने एक प्रयोग किया। आइए उसे देखते हैं।
कुमार के पहिए की तरह बिजली की मोटर से चलने वाला एक चक्का बनाया गया। इसके बाहरी गोल हिस्से पर तेज़ी से बढ़ने वाले पौधे गमले में लगा कर रख दिए गए और चक्के को मोटर की सहायता से चला दिया गया1 कुछ दिनों बाद जब उसे रोका गया तो देखा कि पौधों की जड़ें चक्के के केंन्द्र से बाहर की दिशा में जा रही थीं, जबकि उन्हें नीचे ज़मीन की ओर जाना था।
पहली बात तो यह समझ में आई कि हो-न-हो यह किसी बल का काम है जिसने जड़ों को घूमते चक्के के केंद्र से बाहर की दिशा में, गुरुत्व बल होने का आभास दिया।
आगे बढ़े तो समझ में आया कि चक्के के घमूने के कारण केंद्र से बाहर की ओर एक केंद्रापसारी बल (Centrifugal Force) पैदा होता है चक्के के तेज़ गति से घूमने के कारण यह बल गूरुत्व बल से अधिक शक्तिशाली हो जाता है। अच्छा एक बात बताओ कि लोहे की एक कील को दो चुंबकों के बीच रखें और उनमें से एक चुंबक ज़्यादा शक्तिशाली हो तो कील किसकी तरफ खिंचेगी? घूमते पहिए वाले प्रयोग में भी बिल्कुल ऐसा ही हुआ, कंद्रापसारी बल गुरुत्व बल से ज़्यादा शक्तिशाली हुआ और जड़ें उसी की दिशा में बढ़ चलीं।
आप अपने स्कूल में भी ऐसा ही प्रयोग करने की कोशिश कर सकते हैं।

गुरुत्व का असर: 1. ट्यूब के अंदर उगाया बीज
2. ट्यूब जड़ में वृद्धि केंद्र की स्थिति। बीज को यदि ट्यूब के अंदर उगाएं तो तब भी तना और जड़ विपरीत दिशा में बढ़ते हैं। जब उनकी लंबाई इतनी हो जाती है कि वे ट्यूब से बाहर निकल सकें तो तना ऊपर आकाश की तरफ और जड़ नीचे की ओर बढ़ना शुरू कर देती है। जड़ चाहे कितनी भी मोटी क्यों न हो, उसका सिरा हमेशा छोटा और पतला होता है। लंबाई बढ़ने के साथ जैसे-जैसे जड़ नीचे जाती है, वृद्धि केंद्र भी नीचे खिसकता जाता है। मूल जड़ से निकलने वाली अन्य जड़ें हमेशा वृद्धि केंद्र के ऊपर वाले हिस्से से निकलती हैं।
पहाड़ की सतह के लंबवत नहीं होते। क्यों? ध्यान दीजिए जब हम पहाड़ पर चढ़ते हैं तो अपना शरीर किस तरह रखते हैं? ऐसा इसलिए होता है कि ताकि हमारा गुरुत्व केंन्द्र आधार के बीच ही बना रहे और हम गिरे नहीं।
अंतरिक्ष में छोड़े गए यानों में भारहीनता की स्थिति में किए गए प्रयोगों से इस बात का पता चला कि गुरुत्व रहित क्षेत्र में बीज की जड़ें किसी निश्चित दिशा में नहीं बढ़तीं, जैसा कि पृथ्वी पर होता है। यानी जड़ की दिशा और गुरुत्व बल की दिशा में एक संबंध है।
प्रसिद्ध जीव विज्ञानी डार्विन ने भी जड़ों पर कई प्रयोग किए थे। उन्होंने ही सबसे पहले यह बताया कि जड़ का टोपीवाला भाग ही गुरुत्व के प्रति संवेदनशीलता होता है। अब गुरुत्व के प्रति संवेदी हिस्से की जानकारी तो मिल चुकी थी, लेकिन सवाल था कि किस तरीके से लगाते हैं पौधे गुरुत्व बल की दिशा का पता।
कौन बताता है बल की दिशा
इन तरीकों के बारे में लंबे समय तक अंदाज़ लगाए जाते रहे। नाल नाम के वैज्ञानिक का सुझाव था कि हो-न-हो पौधे भी गुरुत्व बल का पता उसी तरह लगाते हैं जिस तरह कुछ विशिष्ट किस्म के जंतु। झींगा, घोंघा, ऑक्टोपस जैसे जंतुओं में यह कार्य ‘स्टेटोसिस्ट’ द्वारा किया जाता है। यह एक विशिष्ट प्रकार का संवेदनशील अंग है जो ऐसे कई प्राणियों में मिलता है। इस अंग में रेत के कण, कैल्शियम ऑक्ज़ेलेट या ऐसा ही जंतुओं की सामान्य स्थिति में कोई परिवर्तन होता है तो इसमें भरे रेत के कण गुरुत्व के प्रभाव से पृथ्वी के केंद्र की ओर यानी नीचे की ओर आ जाते हैं। स्टेटोसिस्ट में उपस्थितर तंत्रिकाएं यह खबर मस्तिष्क को पहुंचा देती हैं और जंतु अपनी को पुन: संतुलित कर लेता है।
दो अन्य वैज्ञानिकों हैबरलैन्ड व नेमेक ने बताया कि पौधों में स्टेटोसिस्ट का कार्य वे कोशिकाएं करती हैं जो जड़ के टोपी वाले हिस्से के मध्य भाग में होती हैं। पौधो में इन्हें ‘स्टेटोसाइट’ नाम दिया गया। इसमें रेत के कणों की जगह स्टार्च के कण भरे होते हैं। प्रत्येक स्टेटोसाइट मात्र स्टार्च कणों का एक ढेर नहीं बल्कि एक पूर्ण विकसित व व्यवस्थित अंग है। स्टार्च के कण एक झिल्ली से घिरे रहते हैं। यह रचना एमाइलोप्लास्ट कहलाती है। यूं कह सकते हैं कि जंतु के स्टेटोसिस्ट में मौजूद रेत के कण जो काम करते हैं, वही काम पौधों के स्टेटोसाइट में उपस्थित स्टार्च के कणों द्वारा होता है। हालांकि यहां तत्रिकाएं नहीं होतीं और न ही कोई मस्तिष्क। फिर भी सभी काम आश्चर्यजनक तरीके से व्यवस्थित और सिलसिले-वार होते हैं। वैसे ज़रूरी नहीं कि सभी पौधों में स्टार्च के कण ही हों, कुछ में बेरियम सल्फेट के कण भी होते हैं, जैसे कि कारा नाम की काई में।
खैर, कण कोई भी हों, वर्तमान प्रमाणों से यह स्पष्ट है कि पौधों की जड़ों में स्टार्च के कणों का या अन्य कणों का गुरुत्व के प्रभाव से नीचे की तरफ जमना ही पृथ्वी की दिशा का पता लगाने का प्रमुख तरीका है। जड़ को ज़मीन की दिशा में सीधा खड़ा न रखते हुए यदि इसे आड़ा लिटा दिया जाता है तो इस गड़बड़ी का पता तुरन्त जड़ को लग जाता है। ऐसे में एमाइलोप्लास्ट (स्टार्च के कणों का समूह) तुरन्त स्थिति बदलकर नई अवस्था में आ जाते हैं। देखा गया है कि कई ज़डों को इस गड़बड़ की सूचना मात्र 12 सेकेण्ड में मिल जाती है। और वे इसे सुधारने में लग जाती है। यह भी पता चला कि जिन ज़ड़ों का अलग सिरा काट दिया जाता है वे भी 14 से 22 घंटों के बाद पुन: गुरुत्वाकर्षण के प्रति संवेदनशील हो जाती हैं। यह समय इतना ही है जितना नए एमाइलोप्लास्ट बनने में लगता है।
गुरुत्व संवेदी अंग: 1. (अ). पौधे का स्टेटोसाइट (ब). जंतु का स्टेटोस्टि। तीर की नोक गुरुत्व केंद्र की दिशा दिखा रही है। 2. जड़ की खड़ी और आड़ी स्थिति में स्टेटोसाइट में स्टार्च कणों की स्थिति।
इससे भी इस बात की पुष्टि होती है कि गुरुत्व बल का पता लगाने का काम स्टार्च कणों का है। किन्तु गुणसूत्रों की व्यवस्था (Genetic Combination) में किसी तरह की गड़बड़ी (mutation) के कारण जिन पौधों में एमाइलोप्लास्ट नहीं बनते उनकी जड़ें भी बराबर ज़मीन की तरफ जाती हैं। यानी कि पौधों में गुरुत्व बल की दिशा का पता लगाने की स्टार्च कणों के अलावा भी कोई और युक्ति है।
जड़ को ज़मीन की दिशा बताने का काम एमाइलोप्लास्ट करे या कोई और - लेकिन जैसे ही जड़ को खड़ी से आड़ी स्थिति में लाते हैं, वह कुछ देर में मुड़कर फिर से ज़मीन की ओर बढ़ चलती है। ऐसा क्यों और कैसे होता है?
प्रयोग हुए तो पता चला कि जब जड़ को आड़ी स्थिति में लाते हैं तो उसकी ऊपरी और निचली दोनों सतहों में वृद्धि दर पहले के मुकाबले कम हो जाती है। लेकिन इस स्थिति में भी निचले हिस्से की वृद्धि दर ऊपर वाले हिस्से की तुलना में और कम रहती है - यानी ऊपर वाला हिस्सा ज़्यादा बढ़ता है, नीचे वाला कम। इस कारण पैदा तनाव के कारण जड़ नीचे की ओर मुड़ जाती है यानी उसमें वक्रता आ जाती है। तो बात गुरुत्व केंन्द्र का पता लगाने से होती हुई वृद्धि नियंत्रण पर आ पहुंची।
किसका नियंत्रण
जीवों में वृद्धि का नियंत्रण हारमोन द्वारा होता है। अत: सोचा गया कि हो - न-हो यह किसी वृद्धि रोकने वाले हारमोन का काम होना चाहिए। इस दिशा में प्रयोग किए गए तो पता चला कि वक्रता के लिए ज़िम्मेदार हारमोन ऑक्सिन है। यह जड़ों में प्राकृतिक रूप से मिलता है। ऐसी जड़ें जिनका गुरुत्व संवेदी टोपी वाला सिरा काटने के बाद यदि उनमें ऊपर या नीचे की तरफ बाहर से थोड़ा-सा ऑक्सिन लगा देते हैं तो भी उनमें वक्रता आ जाती है।
स्टार्च के कण: गुरुत्व बल के कारण स्टेटोसाइट में स्टार्च के कण हमेशा कोशिका की सबसे निचली सतह पर जमा होते हैं। चाहे जउ की खड़ी आड़ी स्थिति के कारण जड़ के अंदर कोशिका किसी भी स्थिति में क्यों न हो।
|
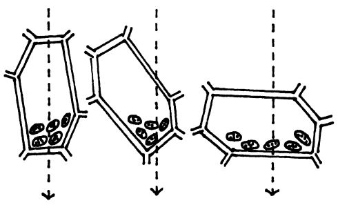
कैसे फैलती हैं जड़ें जड़ों का फैलना समझने के लिए आइए एक प्रयोग करके देखते हैं। बीकर या खुले मुंह वाला कांच का कोई दूसरा बर्तन लीलिए। इसकी दीवार के सहारे एक फिल्टर पेपर या अखबार रखिए। बर्तन के बाकी हिस्से को मिट्टी से भर कर पानी से सींच दीजिए। अब एक बीज लेकर (जो जल्दी अंकुरित हो जैसे कि चना, मूंग आदि) फिल्टर पेपर और कांच दीवार के बीच, दो तीन अंगुल नीचे फंसा दीजिए। दीवार से आप बीज में होने वाले परिवर्तनों पर निगरानी रख सकते हैं। देखिए कैसे फैलती हैं जड़ें। |
देखा गया है कि लिटाई गई जड़ के निचले हिस्से में ऑक्सिन की मात्रा ऊपरी हिस्से की तुलना में ज़्यादा होती है। ऑक्सिन की यह अधिकता जड़ के निचले भाग की कोशिकाओं की वृद्धि को कम कर देती है। और जड़ फिर से ज़मीन की ओर मुड़ कर बढ़ने लगती है।
लिटाई गई जड़ में ऑक्सिन के इस असमान वितरण का कारण स्टार्च के भारी कण हैं। जब भी जड़ की स्थिति में कोई परिवर्तन होता है तो उसकी कोशिकाओं में उपस्थित स्टार्च के कण नई स्थिति में जमा हो जाते हैं। इससे जीवद्रव में उपस्थित सूक्ष्म नलिकाओं पर दबाव पड़ता है। इस कारण वहां से कैल्शियम के आयन निकलने लगते है, जो ऑक्सिन के बहाव को नीचे की ओर मोड़ देते हैं।
इसे परखने के लिए मक्का की जड़ के सिरे पर चूने को रगड़कर ऑक्सिन के बहाव को रोकने वाला एक रसायन ‘इडीटीए’ लगाया गया। ऐसा करने पर जड़ अपनी सामान्य गति से तो बढ़ी पर गुरुत्व के प्रति उसकी संवेदनशीलता समाप्त हो गई। यह भी देखा गया कि ‘इडीटीए’ हटाकर जड़ के सिरे पर फिर चूना लगाने से जड़ की पुरानी क्षमता फिर लौट आती है। यानी चूना बड़ी कमाल की चीज़ है। कहीं भी लगाओ अपना असर ज़रूर दिखाता है। एक प्रयोग से यह भी पता चला कि यदि सीधी खड़ी जड़ के किसी एक ओर चूना लगा दिया जाए तो वह बिना गुरुत्व बल से प्रभावित हुए 360 डिग्री पर इस तरह मुड़ जाती है मानों किसी ने उसे पकड़कर गांठ लगा दी हो। मतलब चूना बाकी सब गुणों पर पानी फेर देता है। वैसे भी दैनिक जीवन में चूना लगाने के अन्य फायदों से तो हम सभी अच्छी तरह वाकिफ हैं ही!
एक बार फिर देखें
संक्षिप्त में कहें तो जड़ों को ज़मीन की दिशा का पता चलने और आगे की क्रियाओं के बीच के संबंधों पर हो रहे आधुनिकतम अध्ययनों का सार कुछ इस प्रकार है :
- जड़ के आड़ी-तिरछी होने की दशा में उसके सिरे की कोशिकाओं में उपस्थित एमाइलोपलास्ट (स्टार्च कण) गुरुत्व बल के कारण कोशिका में नीचे की तरफ जमा हो जाते हैं।
- एमाइलोप्लास्ट से पड़ने वाले दबाव के कारण जीवद्रव में उपस्थित सूक्ष्म नलिकाओं से कैल्शियम के आयन निकलने लगते हैं जिससे जीवद्रव में कैल्शियम की मात्रा बढ़ जाती है और कोशिका के निचले भाग में कैल्शियम और ऑक्सिन का बहाव होने लगता है।
- इस कारण जड़ की निचली कोशिकाओं में ऑक्सिन की मात्रा बढ़ जाती है।
- ऑक्सिन की अधिकता जड़ की नीचे वाले सिरे की कोशिकाओं की वृद्धि कम कर देती है। अत: जड़ गुरुत्व बल की दिशा में मुड़ जाती है और पुन: सही रास्ते पर, यानी ज़मीन की ओर बढ़ने लगती है।
अंत में एक बात और जोड़ ही देनी चाहिए कि पेड़-पौधों की जड़ें केवल गुरुत्व बल के प्रति संवेदनशील नहीं होती; पौधों को आधार देने के साथ-साथ दूसरा महत्वपूर्ण काम है, पानी की तलाश। इसलिए वे पानी और नमी के प्रति भी उत्यन्त संवेदनशील होती हैं। अचेतन समझी जाने वाली जड़ की इस चेतना की बात फिर कभी।
(किशोर पवार - शासकीय महाविद्यालय, सेंधवा, ज़िला खरगोन में प्राध्यापक)

